문제

문제 이해
처음 DP를 만나서 어떻게 접근해야할지 몰랐습니다.메모이제이션 기법을 이용해야한다고 하는데 이전의 결과를 이용해야한다? 부터 어려웠습니다.
그림을 그려 살펴보니 이해가 되었습니다.
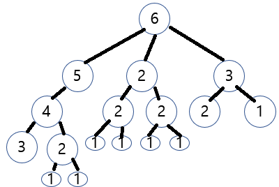
예를 들어 6이란 수를 1로 만들려면

위 예시 에서 2,3으로 나눠지지 않는 결과는 제외했습니다.
ex) 5는 1빼는 방법밖에 없어서 4가 나왔습니다.
6에서 1을 빼는 방법, 2를 나누는 방법, 3을 나누는 방법 이 3가지를 모두 적용할 수 있습니다.
1이 나오기 과정까지 2,3이 반복해서 나오는 것을 확인할 수 있습니다. 그럼 2,3의 값을 어디다가 저장해두고 다른 수를 찾아보면 되겠지요.

빈 리스트의 i가 1를 변화 시킬 때 수는 1을 빼는 방법, 2를 나누는 방법, 3을 나누는 방법 중 가장 작은 수를 가지고 있는 것을 고르면 됩니다.
2부터 시작해서 i까지가면 2,3,4... 들은 1까지 가는 가장 작은 수를 들고 있게 하려면 배열에 호출된 횟수를 남겨주면 됩니다.

1을 빼는 방법을 하면 그 1을 뺀 배열 자리에 +1를 해야합니다.
ex)

i가 4일 때 입니다. 4는 1로가기 위해서는 2번의 연산이 필요합니다. (2나누기 -> 1빼기,2나누기)
4-1 = 3이니 (3에서 1로가기 위한 연산 + 1)을 해야합니다.
그리고 4/2 = 2 (2에서 1로가기 위한 연산 + 1)을 해야합니다.
위 2개 중에 더 적게 1로가는 수를 찾으면 됩니다.
코드
num = int(input())
d = [0] * (num+1)
for i in range(2,num+1):
#1을 뺀값 보다 작은게 없다면 뺀값이 그 숫자의 최선이다.
d[i] = d[i-1] + 1
if(i % 2 == 0): #2로 나누어 질 때
d[i] = min(d[i],d[i//2]+ 1) #ai = min(ai-1, a를 2로나눴을때) 검사
if(i % 3 == 0): #3으로 나누어 질 때
d[i] = min(d[i],d[i//3]+ 1) #ai = min(ai-1, a를 2로나눴을때 , a를 3로나눴을때) 검사
print(d[num])
2~찾기 위한 수를 d리스트에 저장하면서 값을 찾습니다.
-1의 값은 곧 1로 가기 위한 첫번 째 수입니다.
만약 2로 나눠진다면 더 적은 수로 1로 가기위한 수를 결정해야 합니다.
만약 3로 나눠진다면 더 적은 수로 1로 가기위한 수를 결정해야 합니다.
첫 번째 if문에서

위 연산을 하고

두 번째 if문에서 위와 같은 연산을 하는 것입니다.
2와 3, 둘다 나눠지는 수가 있기 때문입니다.
'알고리즘 > 백준알고리즘' 카테고리의 다른 글
| [백준 알고리즘/Python] 11727 2×n 타일링2 (0) | 2022.01.29 |
|---|---|
| [백준 알고리즘/Python] 11726 2×n 타일링 (0) | 2022.01.28 |
| [백준 알고리즘/Python] 1212 8진수 2진수 (0) | 2022.01.25 |
| [백준 알고리즘/Python] 1373 2진수 8진수 (0) | 2022.01.24 |
| [백준 알고리즘/Python] 17087 숨박꼭질6 (0) | 2022.01.23 |